2024苏州马拉松将于4月14日7:30活力开跑,赛事起点临近轨道交通5号线华莲站,终点分别临近3号线东振路、东方之门、5号线奥体中心站,为做好马拉松赛事出行及大客流运输服务保障,苏州轨道交通对当天行车、客运组织优化安排如下:
行车组织调整
提前5号线双向首班车时间
往阳澄湖南方向:太湖香山站首班车由5:40提前至5:06,许家桥站首班由5:40提前至5:10,调整后第一班列车到达华莲站时间为5:50。
往太湖香山方向 :阳澄湖南站首班车由5:40提前至5:12,调整后第一班列车到达华莲站时间为5:30。
加密5号线行车间隔
赛事期间5号线行车间隔由7分钟缩短至5分30秒。
车站服务调整
8:00前,金湖站、李公堤南站临时关站,列车不停站通过,请计划4月14日早晨前往金湖站或李公堤南站的乘客,及时调整出行规划。对于赛事起点、终点涉及站点将调整部分出入口进出站模式,加大出行指引力度。
华莲站 赛事起点
为引导参赛选手安全、高效出行,华莲站计划于6:00-7:30实施出入口管控,1、5号口只出不进。2、3、4出入口正常进出不作管控。

苏州奥体中心站 全程马拉松终点
苏州奥体中心站视当天进站客流情况对2号口通道执行只进不出,现场通过设置客流限制栏杆、伸缩栏杆进行限流。1、3、6、7出入口正常进出不作管控。
东方之门站 半程马拉松终点
3号线东方之门计划于9:00-11:00实施出入口管控,2号口只出不进,并视当天进站客流情况对4、8号口只进不出。

东振路站 迷你健康跑终点
东振路计划于8:00-10:00 实施出入口管控,1号口、3号口只进不出,4号口只出不进。请各位乘客提前做好出行安排,合理规划您的出行时间。

便民服务保障
华莲站、苏州奥体中心站站厅将增设临时暖心补给台,提供压缩毛巾、纸巾、医药箱、热水等物品,同时车站将打造一间专属女性的更衣室,如有换装需求的乘客,可根据站厅内的指引牌或联系车站工作人员至指定地点换装。



东振路站站厅将增设“马拉松补给站”,为参赛选手提供饮用水、治疗跌打损伤药物等物品。同时,完成迷你健康跑的市民朋友可至东振路站领取小红旗、国旗贴纸等小礼品,东振路站安排了专业摄影员工为完成比赛的亲子家庭合影留念哦~

3号线东方之门站4号口外设置休息区和便民服务台,为参赛者免费提供矿泉水、充电宝等物品。

温馨提示
1.需要乘坐地铁的参赛人员,可提前准备好乘客券验票进站,提前下载 “苏e行APP” 或通过 微信小程序“城市通” 授权后,扫码进站。
2.当天预计华莲站出站客流及苏州奥体中心站、东方之门站、东振路站的进站客流较大,如遇车站客流管控请给予理解并积极配合,有其他需要也可以联系车站工作人员或拨打苏州轨道交通服务热线0512-69899000,感谢您的理解与支持!
3.另请留意车站公告及苏州轨道交通官方微博、微信,“苏e行”APP等平台的动态信息,合理规划出行路线。
4月14日5号线首班车时间表

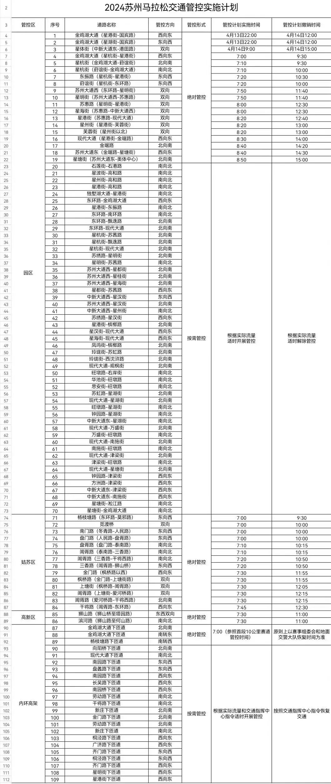
为了保障赛事安全顺利进行,根据道路交通安全法律法规有关规定,赛事举办期间将对部分道路分时、分段采取临时交通管理措施。

苏州交警温馨提示
1、处于赛事区域内的市民游客,请关注相关道路封闭时段,提前选择出行时间及方式,以免造成不便。
2、请赛道沿线的单位和广大市民尽量错时出行,根据交通管理措施通告提前选择出行线路和交通方式,以免影响正常的工作和生活。
3、比赛道路禁止各种车辆停放,比赛线路沿线各交叉口的车辆和行人,须服从执勤人员的指挥管理,无关车辆、行人不得进入比赛道路。

来自五湖四海的跑友们,一起用脚步丈量苏州,感受历史文化名城的古韵今风。

正好沿着苏马赛道,给大家介绍下沿途那些值得打卡的地标和景点,一起跟着马拉松路线尽享苏州美景吧!
01南门路→苏州关税务司署旧址→苏纶场→盘门路→盘门景区→盘胥路→姑苏69阁文化创意产业园

一路沿着护城河,领略东方水城的神韵和风采。护城河畔的南门路,是春日赏花的好去处,沿途还会经过苏州关税务司署旧址和苏纶场。走过横跨于护城河上的吴门桥,来到盘门景区,水陆古城门和瑞光塔在蓝天下交相辉映。接着到盘胥路上的姑苏69阁文化创意产业园,拍照打卡品美食,享受悠闲的春日时光。
02三香路→苏州革命博物馆→狮山路→苏州博物馆西馆→狮子山→滨河路

一路从古城区到高新区,能体验苏州古今融合的“双面绣”景色。三香路上的苏州革命博物馆是一处爱国主义教育基地,在此可回顾峥嵘岁月,追忆古城苏州的难忘瞬间。接着前往苏州博物馆西馆,馆内除了展示苏州历史和苏作工艺外,还有许多精彩的特展,最新的展览“见贤思齐——明清肖像画特展”和“竹动·心动——单凡作品展”很值得一看。登上西馆旁的狮子山,可饱览苏州的城市风光。
03何山路→枫桥景区→寒山寺→枫桥路→西园寺→留园→山塘街

这段线路沿途既有风景名胜,又有寺庙古刹,特别适合想享受闲适时光的市民游客。千百年来,无数文人游子来到枫桥,寻觅那份“江枫渔火”的美妙意境。一旁的寒山寺晨钟暮霭,余音袅袅,让人生思古之幽情。西园寺内古木幽深,梵宇重重,美味的素面和可爱的猫咪吸引了无数的游客。西园寺不远处就是中国四大名园之一的留园,园内山茶、牡丹、紫藤、木绣球等花卉次第绽放。最后来到山塘街,小桥流水、粉墙黛瓦,美食美景皆让人流连。
04干将西路→怡园→观前街→干将东路→平江路→相门城墙→仁恒仓街商圈

从干将西路到干将东路,一路上穿越苏州古城的繁华地段。怡园是一座小而美的园林,各种各样的花卉是春天的一大亮点,园内还有几只超可爱的猫咪。观前街是古城区的核心商业街,在此可品尝各种老字号美食,如松鹤楼、得月楼、黄天源、采芝斋等。平江路距离观前街不远,水陆并行、河街相临,堪称“苏州古城的缩影”。再往东走就是苏州八座城门之一的相门,爬上城墙可以俯瞰姑苏城内外。最后来到仁恒仓街商圈,逛街购物之余,还能品尝许多美食哦!
05星港街→东方之门→苏州中心广场→现代大道→苏州文化艺术中心→诚品生活苏州→苏州大道东

来到工业园区,沿途的风景也从粉墙黛瓦变成了高楼大厦。东方之门是苏州的地标建筑,背靠苏州中心广场,面朝风光秀美的金鸡湖。苏州中心内大牌云集,有吃有喝有得逛,商业氛围浓厚。沿着现代大道来到金鸡湖东,对岸的艺术殿堂苏州文化艺术中心内,话剧、舞剧、音乐剧、昆曲......各种好戏不断上演。爱读书的你也可以在不远处的诚品书店开启一段书香之旅。
在苏州走一走,看一看,欣赏小桥流水、山清水秀,感受古韵今风、深厚底蕴,体验江南诗意、现代风尚,这一幅古今辉映的城市“双面绣”比想象中更精彩!

